招生就业

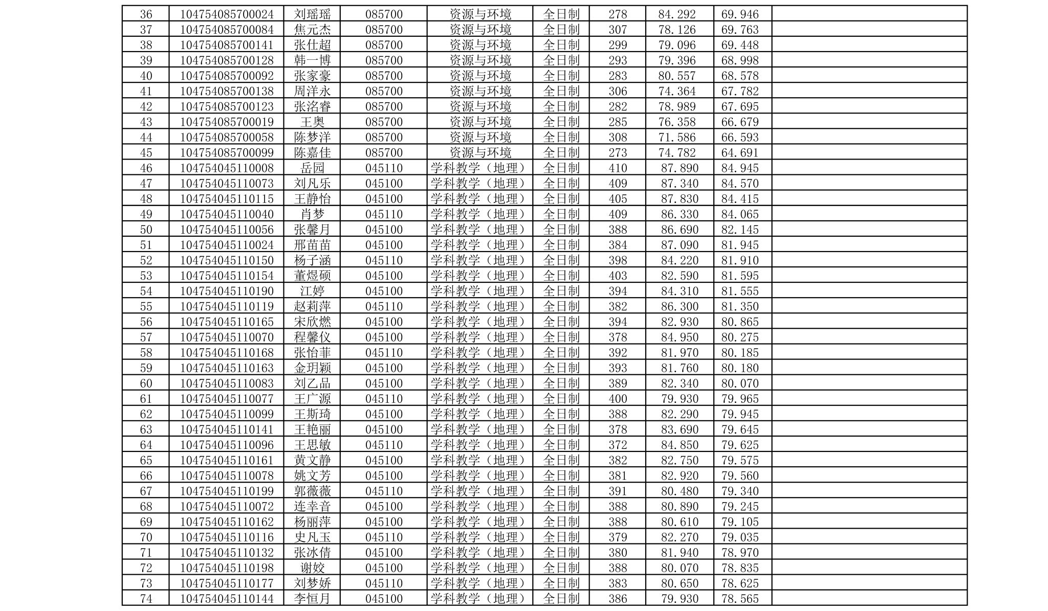
best365网页版登录官方网站2024年硕士研究生第二批复试成绩公示

发布时间:2024-04-08
浏览次数:5077
来源: